ARTÍCULO ESPECIAL

PDF

 

Tasa de filtración glomerular medida y estimada. Numerosos métodos de medición (Parte I)

Measured and estimated glomerular filtration rate. Numerous methods of measurements (Part I)

Jaime Pérez Loredo†, Carlos A. Lavorato1, Armando Luis Negri2

1) Universidad Católica Argentina, Buenos Aires, Argentina (carlosalbertolavorato@gmail.com)
2) Universidad del Salvador, Buenos Aires, Argentina

 

Recibido en su forma original: 23 de julio de 2015
En su forma corregida: 6 de agosto de 2015

Aceptación final: 11 de agosto de 2015

 

RESUMEN
El resultado de observaciones epidemiológicas inicia en la actualidad una reevaluación del ácido úrico en diferentes enfermedades metabólicas, enfermedad Una pérdida de la mitad de la masa renal no necesariamente tendrá la mitad de la TFG, es decir, no hay una correlación exacta entre la reducción de masa renal y la pérdida de función renal.
La tasa de filtración glomerular (TFG) es un índice necesario para diagnóstico, seguimiento de pacientes con deterioro de la función renal, chequeos epidemiológicos, ajuste de dosis de drogas nefrotóxicas o de eliminación renal, estadificación de la enfermedad renal crónica, etc.
En esta actualización se analiza brevemente los principales métodos utilizados con el fin de estimar el filtrado glomerular, algunas de sus fortalezas y debilidades. El empleo de la tasa de filtración glomerular estimada en estudios epidemiológicos ha contribuido a generar controversias de envergadura que más que resultar en un avance científico, han producido larguísimas discusiones como producto de sofismas y desvíos por estos cálculos.
Debería replantearse el aplicar ecuaciones de estimación de la TFG en estudios de laboratorio en la población, dada la imperfección de las mismas y a las dificultades en la interpretación de los resultados para el médico clínico no especialista en la materia.

PALABRAS CLAVE: tasa de filtración glomerular; función renal; ecuaciones de estimación; clearance

 

ABSTRACT
The loss of half the renal mass does not necessarily imply half the Glomerular Filtration Rate (GFR), meaning that there is not an exact correlation between renal mass reduction and renal function loss.
GFR is a necessary index for diagnosis and to establish chronic renal disease stages, follow-up of renal failure patients, epidemiological studies, adjustment of nephrotoxic drugs or renal excretion drugs, among other uses.
This update briefly analyzes the principal methods used in order to estimate glomerular filtration, some of its strengths and weaknesses. The use of estimated GFR in epidemiological studies has contributed to generate a wide scale of controversies that instead of contributing to scientific progress, have produced endless discussions because of misleading argumentations and deviations for these calculations.
Equations applied for estimating GFR in population studies, should be reconsidered, given their imperfection and the difficulty for clinicians, who are not specialists on the subject, to interpret the results.

KEYWORDS: glomerular filtration rate; renal function; estimating equations; clearance

 

 

Tasa de Filtración Glomerular

La tasa de filtración glomerular  (TFG) es un índice trascendente de la función renal global y uno de los parámetros más importantes de la fisiología humana. Es necesaria para diagnóstico, seguimiento de pacientes con deterioro de la función renal, chequeos epidemiológicos, ajuste de dosis de drogas nefrotóxicas o de eliminación renal, estadificación de la enfermedad renal crónica, etc.

Una pérdida de la mitad de la masa renal no necesariamente tendrá la mitad de la TFG, es decir, no hay una correlación exacta entre la reducción de masa renal y la pérdida de función renal, dado que el riñón se adapta a la pérdida de la función con “hiperfiltración compensatoria” y/o el aumento de la reabsorción/secreción de solutos y agua en las nefronas remanentes normales.

Diversos métodos intentan medir, en la asistencia clínica, esta tasa, con variables grados de precisión.

 

1.- Creatinina y Urea

El empleo de la Creatinina como métrica, lleva más de 90 años y el de la Urea, aunque descubierta mucho antes, fue empleada en la medición de función renal recién en 1827, cuando Richard Bright(1-3) reconoció su incremento en la sangre de los enfermos con insuficiencia renal. La utilización de ambas sustancias en la clínica se inicia en 1900(4-6) y  años después, de 1938 a 1945, Homer W. Smith(7) introdujo el concepto de clearance y de circulación renal con estudios con Paraaminohipurato.

 

2.- Clearance de Creatinina (Cl Cr)

La relación entre creatininemia y su clearance no es linear. Por eso con frecuencia, para apreciar la reducción de la función depurativa en razón de la creatininemia a lo largo del tiempo, se emplea el uso de la inversa de la Creatinina logrando de este modo una exhibición linear de  lo que es exponencial mejorando la utilidad.

El clearance de Creatinina, en situación de normalidad sobreestima, aproximadamente en un 10%, a la TFG por la existencia de excreción tubular y ello se magnifica al existir  insuficiencia renal.(8)

Clearance de Creatinina, mililitros/minuto.
Creatinina en orina en mg/dl.
Volumen de orina en ml.
Creatinina en sangre en mg/dl.

 

En 1989 Olsen y en 1990 Roubenoff mejoran  la relación del clearance de Creatinina y la TFG, inhibiendo su excreción tubular con la administración de Cimetidina. A posteriori Hilbrands en 1991, Van Acker en 1992, Choi, Payne y Hiratadulas en 1993, Zaltzman en 1996 y Mackenzie Walser en 1998 también comprobaron la utilidad de la Cimetidina, siendo este procedimiento, de los de uso clínico, algo más preciso, pero hay autores que refieren que la inhibición de excreción que se logra es sólo parcial. La inhibición de la secreción tubular de Creatinina es un efecto que puede obtenerse  además de la Cimetidina con Trimetoprima, Flucitosina y Cisplatino. Este efecto útil en mejorar la medición del Cl Cr es insuficiente en pacientes afectados por insuficiencia renal.

Para validar la medición en el análisis químico de la Creatinina  en el año 2006 se inició la trazabilidad  metrológica frente a un estándar de calibración por espectrometría de masa por dilución isotópica (IDMS) reduciendo de ese modo las variaciones entre laboratorios.(9-12) A finales del año 2009 esta decisión de calibración del Programa NKDEP de los Estados Unidos, todavía no se había generalizado a todos los laboratorios de ese país.

 

Falencias de la creatinina

Se debe tener presente al emplear creatininemia, que su amplio rango de normalidad hace que una persona pueda tener un valor normal y sin embargo tener la TFG entre 40 y 80 ml/min. Ello es una dificultad  en especial al considerar personas pequeñas, personas de gran tamaño, anoréxicos y caquécticos.(13-14)

La Creatinina tiene importante dependencia de la edad, raza, género, dieta, masa muscular (importa en pacientes inmovilizados,  postrados, malnutridos, fisiculturistas, ancianos), en enfermedades musculares y en para o cuadriplejia, dieta vegetariana, embarazo y eventuales drogas que reducen la secreción tubular de la misma (Cimetidina, Trimetroprima, etc.) o la incrementan  (L-Arginina).

En caso de insuficiencia renal, existe en el intestino una degradación incrementada de creatinina y la dieta de estos pacientes es con frecuencia  pobre en proteínas. Todos estos hechos distorsionan la relación creatinina y TFG.

La creatininemia tiene variaciones en sus niveles, aún en el mismo día. Su concentración también depende del grado de hidratación del organismo. El valor de Creatinina puede en su análisis químico estar sobreestimado al existir cromógenos no específicos.

Todos estos factores explican la  imprecisión al determinar la TFG con creatininemia o su clearance. Se suma a ello el posible y frecuente error en la recolección de orina de 24 horas.

 

3.- TFG de precisión

Los problemas de la precisión de la Creatinina han conducido a la disponibilidad  de otros agentes alternativos para la estimación de la TFG (que filtran por glomérulo y no se reabsorben ni secretan por los tubulos renales). Son procedimientos más precisos, o “gold standard”: tc DTPA,(99) CrEDTA,(51) I-iothalamato,(125) I-hipuran, Iohexol no radiactivo, pero los mismos son más costosos, lentos y no libres de riesgos al requerir su inoculación al paciente. También están sometidos a variaciones, así un mismo estudio repetido a pocos días puede dar valores diferentes.

 

4.- Sinistrina

Inutest fue descripta por Watschinger(15) en 1964 y posteriormente fue marcada con fluorosceina(16-17) (FITC) para su uso en animales de laboratorio. Es un azúcar polimérico, polifructosán, obtenido de la cebolla albarrana roja-urginea marítima que crece en Europa. Tiene depuración idéntica a la Inulina con la que es similar dado que también corresponde al grupo fructán. Una vez inyectada, no se degrada en sangre, se filtra, no se reabsorbe ni se excreta a nivel tubular.(18)

Se usa como la Inulina por su casi identidad, con inyección en bolo o infusión, y puede ocasionar anafilaxia.

La Sinistrina marcada con Fluorosceina se puede usar en  tiempo real leyendo con fibra óptica en animales de investigación.(17) En el ser humano reemplazó al clearance de Inulina y se usa con frecuencia en Alemania y Austria.

 

5.- “Beta Trace Protein”, Cistatina C

Otro camino para conocer la TFG es el empleo de proteínas de bajo peso molecular como la “Beta Trace Protein” (BTP) y la Cistatina C. Son libremente filtradas en el glomérulo, reabsorbidas y catabolizadas pero no excretadas por el túbulo renal y al haber insuficiencia en la TFG, se acumulan e incrementan su concentración  plasmática. Son independientes de la edad, sexo y masa muscular y sensibles a pequeñas reducciones de la TFG, a diferencia de la Creatinina, en el período llamado “ceguera de la Creatinina” que sucede en la  insuficiencia renal incipiente. La BTP se genera a rango constante en células gliales del sistema nervioso, se filtra en glomérulo y absorbida en túbulo proximal.(19-23)

Como la Cistatina C, sus niveles se comprometen con los corticoesteroides. Es independiente de la masa muscular.

La Cistatina C sería superior a la Creatinina para estimar la TFG(24-25) y además predeciría eventos cardiovasculares. Es una proteína ubicua secretada por la mayoría de las células del cuerpo, inhibidora de la proteasa de Cisteína. Se filtra libremente en el glomérulo es reabsorbida y catabolizada por las células epiteliales tubulares, con sólo pequeñas cantidades excretadas en la orina. No tiene secreción tubular.  Los niveles de Cistatina C son medidos en sangre y son relativamente independientes de la constitución corporal, edad y sexo26, a diferencia de la Creatinina que mucho depende de la masa muscular. El valor normal en plasma para menores de 50 años es < 1,20 mg/Litro y < 1,55 para mayores de 50 años.(27)

Según Herget-Rosenthal,(28) sus niveles pueden alterarse en el hipertiroidismo, dosis altas de corticoesteroides y cuando existe enfermedad cardiovascular.

 

6.- Creatinina + Cistatina

Algunas ecuaciones propuestas(29-30) han combinado: sexo, edad y raza, ajustados a Cistatina C y a Creatinina (Modelo de Lund). Cuando hay masa muscular alterada o consumo de corticoides en altas dosis se aconsejó Creatinina y Cistatina en usos separados, más que en combinación.

 

7.- Clearance mixto

Otro camino para conocer la TFG es promediar los clearances de Urea y de Creatinina, llamado clearance mixto. Fue recomendado por Lubowitz, Slatopolsky y otros,(31) y aproxima a la Tasa de Filtración Glomerular. Levey comparó éste método con la TFG determinada con(125) I-Iothalamato mostrando bastante exactitud.(32)

 

8.- Ecuaciones de estimación

Han sido publicadas diversas fórmulas para estimar la TFG o al menos el clearance de Creatinina, a partir de la creatininemia, como las de Edward 1959, Jeliffe 1973, Mawer 1972 pero sin que se expandiese su  aplicación. Posteriormente aparecieron ecuaciones basadas en el nivel de creatininemia con variables antropométricas y demográficas. Las más empleadas son: Ecuación de Cockcroft y Gault de 1976, Ecuación de Walser, Drew y Guldan de 1993, Ecuación cuadrática de Rule, Ecuaciones del estudio MRDR de 1996 y 1999, y Ecuaciones del CKD-EPI. A continuación se analizan en forma resumida las ecuaciones de estimación de la TFG recordándose virtudes, defectos, sesgos, etc. y la variable exactitud de cada una de ellas. Existe una enorme cantidad de publicaciones con opiniones afines o dispares y se recomienda a los lectores interesados en profundizar este debate, recurrir entre otras, a las fuentes bibliográficas que se citan en esta presentación.

 

a) Ecuación de Cockcroft y Gault(33) es sin duda alguna, la más usada en el mundo, muy poco en USA, aunque la misma estima el clearance de Creatinina, más que la TFG. Bastante precisa a valores de leve a moderada  insuficiencia renal.

La ecuación está alterada en enfermedades musculares, desnutrición, enfermedad hepática, obesidad, enfermos críticos y con función renal inestable tiende a sobreestimar el clearance de Creatinina. Cuando fue publicada no existía todavía la estandarización IDMS de la Creatinina y no está ajustada a la superficie corporal.

 

b) Ecuación de Walser, Drew y Guldan,(34) es de 1993 y 1998. Debe ser empleada con creatininemias superiores a 2 mg/dl. Utiliza edad, sexo y peso. Fue desarrollada en enfermos con una TFG promedio  de 13 ml/min.

Varones:

 

Mujeres:

Cuando fue publicada no existía todavía la estandarización IDMS de la Creatinina.

 

c)  Ecuación cuadrática de la Clínica Mayo.(35) Fue desarrollada con personas sanas (donantes de riñón) y enfermos con insuficiencia renal. El autor refirió realizarla al mencionar que la estimación de la TFG con la ecuación MDRD (ver más adelante) hipoestima la tasa en sanos. Posteriormente los autores aceptaron limitaciones y una posible hipoestimación de la TFG.

Si la Creatinina es < 0,8 mg/dl usar 0,8.como valor. Cuando fue publicada no existía todavía la estandarización IDMS de la Creatinina.(36)

 

d) Ecuación MDRD de 4 variables o abreviada: Levey y otros(32) presentan en 1999 una fórmula obtenida para el estudio MDRD (modificación de la dieta en la enfermedad renal). Fue efectuada por regresión escalonada en 1628 pacientes. Los resultados fueron comparados con clearance de Creatinina y también fueron comparados con clearance de Iothalamato. Esta fórmula solo está validada para enfermos con insuficiencia renal. A bajos niveles de creatininemia, la ecuación MDRD hipoestima la TFG en cambio las de  Cockcroft–Gault y Schwartz mostraron sobre estimación.

 

Muestra además subestimación en tasas elevadas  de filtrado glomerular y puede considerar insuficientes renales (TFG < 60 ml/min) a sujetos que no lo son. El mayor problema reconocido es la poca sensibilidad a Tasas de Filtración Glomerular superiores a 60 ml/min, y por  ello también fue objetada en diabéticos.(37)

En su desarrollo intrínseco se incluyó el ajuste a superficie corporal. La ecuación MDRD fue desarrollada en pacientes con sobrepeso. El peso medio 79,6 kg y la superficie corporal media fue 1,91 m2 y sería válida para pacientes entre 1,5 y 2,4 m2. La MDRD sobreestima la TFG en japoneses por tener una superficie corporal menor.

 

e) Ecuación MDRD-IDMS. En el año 2006 se publicó una segunda ecuación MDRD a aplicarse cuando el análisis de Creatinina se efectúa con método estandarizado por Dilución Isotópica y Espectrometría de Masa, IDMS.(11)

Durante su desarrollo fue ajustada internamente a la superficie corporal al igual que la MDRD.

 

Las ecuaciones MDRD con solo edad, sexo y raza, según Pottel y Martens(38) de Bélgica solo reflejan las fluctuaciones de la Creatinina y las estima oportunas solo como tests diagnóstico y no para estimar la TFG. Refieren que los tres factores integrantes antes citados nunca compensarán la falta de sensibilidad de la Creatinina, pero que ello podría mejorar si se incorporara algún factor expresivo de la masa muscular. 

 

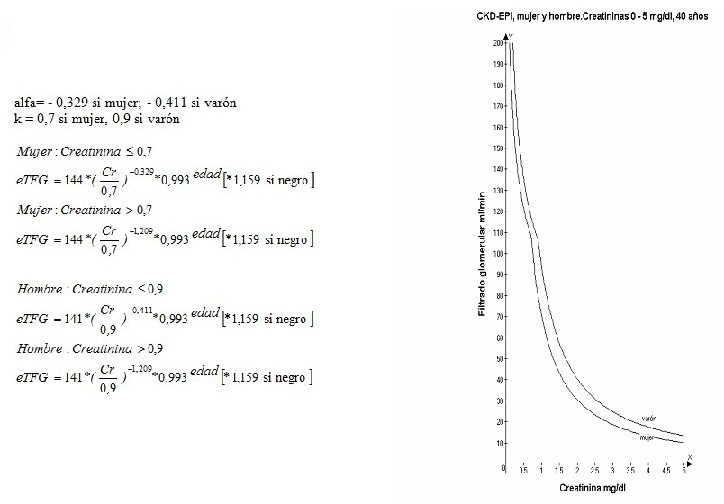
f) La ecuación CKD EPI 2009, con metodología “spline” con dos pendientes, incluyó en su desarrollo Altura, Peso, Índice de Masa Corporal, Superficie, Género, Raza y Edad.(39)

En ella, durante su diseño, implícitamente fue incorporado el ajuste por superficie corporal. En los pacientes con excesiva o reducida masa muscular, como con toda otra ecuación a base de Creatinina, se debe ser cauto en su utilización. Como  las ecuaciones MDRD, se basa en 4 variables, pero aquí  la edad fue tratada como potencia y emplea diferentes constantes según género, raza y nivel de creatininemia. Ello redujo el sesgo de las MDRD, mejorando la errónea clasificación de insuficiencia renal que éstas producen. 

La ecuación genérica tiene máximos y mínimos numéricos. Se utilizan subecuaciones derivadas en razón de raza, género, nivel de Creatinina y edad. También implícitamente esta corregida a superficie: TFG ml/m/1,73 m2 por considerar en su desarrollo, altura, peso e índice de masa corporal (IMC “BMI”).También estaban indexados a superficie lo resultados del comparador “gold standard” utilizado (Iodotalamato, EDTA).

 

 

 

g) Ecuación, CKD-EPI Creatinina-Cistatina C(40-41) del 2011/12 es posiblemente más segura asociando la Cistatina C y la Creatinina, que empleándolas por separado. Esta ecuación fué recomendada por KDIGO 2013 y está hecha con Creatinina y Cistatina trazables.(41)

Las TFG de referencia del marcador comparativo eran relativas a 1,73 m2 de superficie corporal. Es la ecuación del “CKD Epidemiology Colaboration” del National Institute of Diabetes and Digestive and Kidney Diseases (NIDDK). La ecuación genérica tiene máximos y mínimos numéricos y se  utilizan subecuaciones derivadas en razón de raza, género, nivel de Creatinina y edad. También implícitamente está corregida a superficie: TFG ml/m/1,73 m2.


k es 0,7 para mujeres y 0,9 para varones
alfa es -0,248 para mujeres y -0,207 para varones
En mL/min/1,73 m2

 

 

Consideraciones sobre  Ecuaciones de Estimación

Delanaye(42) en el año 2010 determinó la prevalencia de estadio 3 de enfermedad renal crónica con MDRD y CKD EPI en Bélgica en 1992 pacientes de 45 a 75 años con 47% de varones hallando una prevalencia mayor con MDRD que con CKD EPI y ello reprodujo lo sucedido en USA  con las ecuaciones MDRD.

Coresh(43) en el 2007 refiere que el 10% de la población en USA tiene una tasa de filtración glomerular menor a 60 mL/min aunque ello fue cuestionado por Glassock(44) poco tiempo después, criticando que solo se basa en  la Tasa de Filtración Glomerular estimada corregida a 1,73m2 sin otro respaldo que evidencie daño renal (ej. proteinuria) e indicando que la denominación “enfermedad renal crónica epidémica” al hacer comparaciones en los períodos 1988/1994 y 1999/2000 en los informes NHANES y USRDS era irreal.

Una publicación reciente de Ferguson(45) mostró nuevamente que la ecuación MDRD a niveles bajos de Creatinina subestima la TFG y que a esos niveles, la ecuación de Cockcroft Gault sobrestima la TFG.

También en Argentina las publicaciones de Chiurchiu, Rosa Diez, Trimarchi y otros autores(46-49) mostraron diferencias entre ecuaciones de estimación de la Tasa de Filtración Glomerular, también con la  Cistatina C.

Publicaciones de otros autores(50-53) coinciden en  que en los pacientes con función renal normal o hiperfiltración (microalbuminúricos) las ecuaciones de predicción no son suficientemente seguras para monitorizar la función renal, mientras que en enfermedad renal crónica en estadios 2 y 3 estas ecuaciones pueden ser válidas.

Poole y otros(54) destaca que existen significativas limitaciones al estimar la función renal con ecuaciones de estimación.

White y otros(55) recomienda utilizar en trasplantados la fórmula CKD-EPI en lugar de la MDRD aunque refiere que aquella brinda resultados subóptimos y que deberían buscarse mejores estimaciones por ejemplo a través de la Cistatina C o la Beta Trace Protein.

Lin y otros(56) en 117 donantes de riñón constata que ni la MDRD ni la Cockcroft-Gault son suficientes para estimar la TFG, y que sería necesaria la medición radioisotópica con Tc-99-DTPA o 125 I-idotalamato para una mejor determinación.

Gaspari y otros(57) halló inexactitud con ecuaciones de estimación de TFG en receptores de trasplante renal, y recomienda el clearance de iohexol plasmático.

Autores como Earley(58) y Michels,(59) entre otros, también refieren significativas limitaciones con las fórmulas para estimar la TFG.

 

CONCLUSIONES

En esta actualización se analiza brevemente los principales métodos utilizados con el fin de estimar el filtrado glomerular, algunas de sus fortalezas y debilidades. Podemos concluir que analizando estas controversias, parece inadecuado utilizar las estimaciones de TFG en decisiones médicas sobre un paciente individual. Además su empleo en estudios epidemiológicos ha contribuido a generar controversias de envergadura que más que resultar en un avance científico, han producido larguísimas discusiones como producto de sofismas y desvíos por estos cálculos. Por ejemplo, dentro de la controversia sobre ingreso precoz versus tardío a diálisis, aparecieron numerosos estudios con TFG estimada, la mayoría provenientes de los más importantes registros de diálisis, que muestran una mayor mortalidad en la población de pacientes que ingresan precozmente.(60-61)

Los estudios controlados que utilizan TFG medida como el NECOSAD,(62) no confirman estos resultados y más aún, parece estar relacionado con errores a los que contribuyen las estimaciones referidas.(63) Debería replantearse el aplicar ecuaciones de estimación de la TFG en estudios de laboratorio en población general, dada la imperfección de las mismas, que con frecuencia marcan enfermedad en población sana y a las dificultades en la interpretación de los resultados para el médico clínico no especialista en la materia.

 

Conflicto de intereses: Los autores declaran no poseer ningún interés comercial o asociativo que presente un conflicto de intereses con el trabajo presentado.

 

BIBLIOGRAFÍA

1) Bright, R. Reports of Medical Cases, Selected with a View of Illustrating the Symptoms and Cure of Diseases by a Reference to Morbid Anatomy. London: Richard Taylor for Longman, Rees, Orme, Brown, and Green, 1827-31. 2 v.
2) Bright R, Addison T. Elements of the Practice of Medicine. London: Longman, Orme, Brown, Green, and Longmans, 1839. V. 1, 613 p.
3) Bright R. Clinical Memoirs on Abdominal Tumours and Intumescence. London: The New Sydenham Society, 1860. 326 p.
4) Rehberg PB. Studies on Kidney Function: The Rate of Filtration and Reabsortion in the Human Kidney. Biochem J. 1926; 20(3):447-60.
5) Addis T, Oliver J. The Renal Lesion in Bright's Disease. New York: Paul B. Hoeber, 1931. 628 p.
6) Hayman JM, Halsted JA, Seyler LE. A comparison of the creatinine and urea clearance tests of kidney function. J Clin Invest. 1933;12(5):861-75.
7) Smith HW. Diseases of the Kidney and Urinary Tract, 836-87. En: The Kidney: Structure and Function in Health and Disease. New York: Oxford University Press, 1951. 1049 p.
8) Fraga A. Evaluación del filtrado glomerular en nefropatía por diabetes. Nefrol Argent. 2010; 8(Supl. 1):21-6.
9) National Institute of Diabetes and Digestive and Kidney Diseases (United States). National Kidney Disease Education Program [Internet]. Disponible en: http://nkdep.nih.gov/ (citado: 19/07/2015).
10) Myers GL, Miller WG, Coresh J, Fleming J, Greenberg N, Greene T, et al. Recommendations for improving serum creatinine measurement: a report from the Laboratory Working Group of the National Kidney Disease Education Program. Clin Chem. 2006; 52(1):5-18.
11) Levey AS, Coresh J, Greene T, Stevens LA, Zhang YL, Hendriksen S, et al. Using standardized serum creatinine values in the modification of diet in renal disease study equation for estimating glomerular filtration rate. Ann Intern Med. 2006; 145(4):247-54.
12) Perazzi B, Angerosa M. Creatinina en sangre: calidad analítica e influencia en la estimación del Índice de Filtrado Glomerular. Acta Bioquím Clín Latinoam. 2011; 45(2):265-72.
13) Levey AS. Measurement of renal function in chronic renal disease. Kidney Int. 1990; 38(1):167-84.
14) Perrone RD, Madias NE, Levey AS. Serum creatinine as an index of renal function: new insights into old concepts. Clin Chem. 1992; 38(10):1933-53.
15) Watschinger B, Kobinger I. Clearance tests with polyfructosans (Inutest). Wien Z Inn Med. 1964; 45:219-28.
16) Schock-Kusch D, Xie Q, Shulhevich Y, Hesser J, Stsepankou D, Sadick M, et al. Transcutaneous assessment of renal function in conscious rats with a device for measuring FITC-sinistrin disappearance curves. Kidney Int. 2011; 79(11):1254-8.
17) Wang E, Meier DJ, Sandoval RM, Von Hendy-Willson VE, Pressler BM, Bunch RM, et al. A portable fiberoptic ratiometric fluorescence analyzer provides rapid point-of-care determination of glomerular filtration rate in large animals. Kidney Int. 2012; 81(1):112-7.
18) Buclin T, Pechère-Bertschi A, Séchaud R, Décosterd LA, Munafo A, Burnier M, et al. Sinistrin clearance for determination of glomerular filtration rate: a reappraisal of various approaches using a new analytical method. J Clin Pharmacol. 1997; 37(8):679-92.
19) Priem F, Althaus H, Birnbaum M, Sinha P, Conradt HS, Jung K. Beta-trace protein in serum: a new marker of glomerular filtration rate in the creatinine-blind range. Clin Chem. 1999; 45(4):567-8.
20) Filler G, Priem F, Lepage N et al Beta-trace protein, cystatin C, beta(2)-microglobulin, and creatinine compared for detecting impaired glomerular filtration rates in children. Clin Chem. 2002;48:729-36.
21) Gerhardt T, Pöge U, Stoffel-Wagner B, Palmedo H, Sauerbruch T, Woitas RP. Is beta-trace protein an alternative marker of glomerular filtration rate in liver transplant recipients? Liver Int. 2011;31(9):1345-51.
22) Spanaus KS, Kollerits B, Ritz E, Hersberger M, Kronenberg F, von Eckardstein A, et al. Serum creatinine, cystatin C, and beta-trace protein in diagnostic staging and predicting progression of primary nondiabetic chronic kidney disease. Clin Chem. 2010; 56(5):740-9.
23) Löfberg H, Grubb AO. Quantitation of gamma-trace in human biological fluids: indications for production in the central nervous system. Scand J Clin Lab Invest. 1979; 39(7):619-26.
24) Thomassen SA, Johannesen IL, Erlandsen EJ, Abrahamsen J, Randers E. Serum cystatin C as a marker of the renal function in patients with spinal cord injury. Spinal Cord. 2002; 40(10):524-8.
25) Delanaye P, Cavalier E, Radermecker RP, Paquot N, Depas G, Chapelle JP, et al. Cystatin C or creatinine for detection of stage 3 chronic kidney disease in anorexia nervosa. Nephron Clin Pract. 2008; 110(3):c158-63.
26)
Grubb A, Nyman U, Björk J, Lindström V, Rippe B, Sterner G, et al. Simple cystatin C-based prediction equations for glomerular filtration rate compared with the modification of diet in renal disease prediction equation for adults and the Schwartz and the Counahan-Barratt prediction equations for children. Clin Chem. 2005; 51(8):1420-31.
27) Newman DJ, Thakkar H, Edwards RG, Wilkie M, White T, Grubb AO, et al. Serum cystatin C measured by automated immunoassay: a more sensitive marker of changes in GFR than serum creatinine. Kidney Int. 1995; 47(1):312-8.
28) Herget-Rosenthal S, Bökenkamp A, Hofmann W. How to estimate GFR-serum creatinine, serum cystatin C or equations? Clin Biochem. 2007; 40(3-4):153-61.
29) Rule AD, Bergstralh EJ, Slezak JM, Bergert J, Larson TS. Glomerular filtration rate estimated by cystatin C among different clinical presentations. Kidney Int. 2006; 69(2):399-405.
30) Stevens LA, Coresh J, Schmid CH, Feldman HI, Froissart M, Kusek J, et al. Estimating GFR using serum cystatin C alone and in combination with serum creatinine: a pooled analysis of 3,418 individuals with CKD. Am J Kidney Dis. 2008; 51(3):395-406.
31) Lubowitz H, Slatopolsky E, Shankel S, Rieselbach RE, Bricker NS. Glomerular filtration rate. Determination in patients with chronic renal disease. JAMA. 1967; 199(4):252-6.
32) Levey AS, Bosch JP, Lewis JB, Greene T, Rogers N, Roth D. A more accurate method to estimate glomerular filtration rate from serum creatinine: a new prediction equation. Modification of Diet in Renal Disease Study Group. Ann Intern Med. 1999; 130(6):461-70.
33) Cockcroft DW, Gault MH. Prediction of creatinine clearance from serum creatinine. Nephron. 1976; 16(1):31-41.
34) Walser M, Drew HH, Guldan JL. Prediction of glomerular filtration rate from serum creatinine concentration in advanced chronic renal failure. Kidney Int. 1993; 44(5):1145-8.
35) Rule AD, Larson TS, Bergstralh EJ, Slezak JM, Jacobsen SJ, Cosio FG. Using serum creatinine to estimate glomerular filtration rate: accuracy in good health and in chronic kidney disease. Ann Intern Med. 2004; 141(12):929-37.
36) Rule AD, Rodeheffer RJ, Larson TS, Burnett JC Jr, Cosio FG, Turner ST, et al. Limitations of estimating glomerular filtration rate from serum creatinine in the general population. Mayo Clin Proc. 2006; 81(11):1427-34.
37) Stevens LA, Coresh J, Feldman HI, Greene T, Lash JP, Nelson RG, et al. Evaluation of the modification of diet in renal disease study equation in a large diverse population. J Am Soc Nephrol. 2007; 18(10):2749-57.
38) Pottel H, Martens F. Are eGFR equations better than IDMS-traceable serum creatinine in classifying chronic kidney disease? Scand J Clin Lab Invest. 2009; 69(5):550-61.
39) Levey AS, Stevens LA, Schmid CH, Zhang YL, Castro AF 3rd, Feldman HI, et al. A new equation to estimate glomerular filtration rate. Ann Intern Med. 2009; 150(9):604-12.
40) Inker LA, Eckfeldt J, Levey AS, Leiendecker-Foster C, Rynders G, Manzi J, et al. Expressing the CKD-EPI (Chronic Kidney Disease Epidemiology Collaboration) cystatin C equations for estimating GFR with standardized serum cystatin C values. Am J Kidney Dis. 2011; 58(4):682-4.
41) Inker LA, Schmid CH, Tighiouart H, Eckfeldt JH, Feldman HI, Greene T, et al. Estimating glomerular filtration rate from serum creatinine and cystatin C. N Engl J Med. 2012; 367(1):20-9.
42) Delanaye P, Cavalier E, Mariat C, Maillard N, Krzesinski JM. MDRD or CKD-EPI study equations for estimating prevalence of stage 3 CKD in epidemiological studies: which difference? Is this difference relevant? BMC Nephrol. 2010; 11:8.
43) Coresh J, Selvin E, Stevens LA, Manzi J, Kusek JW, Eggers P, et al. Prevalence of chronic kidney disease in the United States. JAMA. 2007; 298(17):2038-47.
44) Glassock RJ, Winearls C. An epidemic of chronic kidney disease: fact or fiction? Nephrol Dial Transplant. 2008; 23(4):1117-21.
45) Ferguson MA, Waikar SS. Established and emerging markers of kidney function. Clin Chem. 2012; 58(4):680-9.
46) Chiurchiu C, Garces N, Garay G, Holtz R, Douthat W, de Arteaga J, et al. Utilidad de las ecuaciones basadas en la concentración sérica de cistatina C en el estudio de la función renal. Medicina (B Aires). 2007; 67(2):136-42.
47) Rosa-Diez GJ, Varela F, Crucelegui S, Algranati SL, Greloni G. Comparación entre las ecuaciones CKD-EPI y MDRD para la estimación del filtrado glomerular en pacientes con enfermedad renal crónica. Medicina (B Aires). 2011; 71(4):323-30.
48) Trimarchi H, Muryan A, Martino D, Toscano A, Iriarte R, Campolo-Girard V, et al. Evaluación del Volumen de Filtrado Glomerular en la Enfermedad Renal Crónica por las Ecuaciones Basadas en la Creatinina vs. Aquellas Basadas en la Cistatina C Comparadas con el Radiorrenograma con 99m TCDTPA en la Argentina. Nefrol Argent. 2012; 10(1):21-31.
49) Pérez-Loredo J, Lavorato CA, Negri AL, Der M, Lercari J, Casaliba A. Comparación gráfica de ecuaciones de estimación del filtrado glomerular. Rev Nefrol Diálisis Traspl. 2011; 31(1):34-43.
50) Rossing P, Astrup AS, Smidt UM, Parving HH. Monitoring kidney function in diabetic nephropathy. Diabetologia. 1994; 37(7):708-12.
51) Nielsen S, Rehling M, Schmitz A, Mogensen CE. Validity of rapid estimation of glomerular filtration rate in type 2 diabetic patients with normal renal function. Nephrol Dial Transplant. 1999; 14(3):615-9.
52) Rossing P, Rossing K, Gaede P, Pedersen O, Parving HH. Monitoring kidney function in type 2 diabetic patients with incipient and overt diabetic nephropathy. Diabetes Care. 2006; 29(5):1024-30.
53) Fontseré N, Salinas I, Bonal J, Bayés B, Riba J, Torres F, et al. Are prediction equations for glomerular filtration rate useful for the long-term monitoring of type 2 diabetic patients? Nephrol Dial Transplant. 2006; 21(8):2152-8.
54) Poole SG, Dooley MJ, Rischin D. A comparison of bedside renal function estimates and measured glomerular filtration rate (Tc99mDTPA clearance) in cancer patients. Ann Oncol. 2002; 13(6):949-55.
55) White CA, Akbari A, Doucette S, Fergusson D, Knoll GA. Estimating glomerular filtration rate in kidney transplantation: is the new chronic kidney disease epidemiology collaboration equation any better? Clin Chem. 2010; 56(3):474-7.
56) Lin J, Knight EL, Hogan ML, Singh AK. A comparison of prediction equations for estimating glomerular filtration rate in adults without kidney disease. J Am Soc Nephrol. 2003; 14(10):2573-80.
57) Gaspari F, Ferrari S, Stucchi N, Centemeri E, Carrara F, Pellegrino M, et al. Performance of different prediction equations for estimating renal function in kidney transplantation. Am J Transplant. 2004; 4(11):1826-35.
58) Earley A, Miskulin D, Lamb EJ, Levey AS, Uhlig K. Estimating equations for glomerular filtration rate in the era of creatinine standardization: a systematic review. Ann Intern Med. 2012; 156(11):785-95.
59) Michels WM, Grootendorst DC, Verduijn M, Elliott EG, Dekker FW, Krediet RT. Performance of the Cockcroft-Gault, MDRD, and new CKD-EPI formulas in relation to GFR, age, and body size. Clin J Am Soc Nephrol. 2010; 5(6):1003-9.
60) Wright S, Klausner D, Baird B, Williams ME, Steinman T, Tang H, et al. Timing of dialysis initiation and survival in ESRD. Clin J Am Soc Nephrol. 2010; 5(10):1828-35.
61) Rosansky S, Glassock RJ, Clark WF. Early start of dialysis: a critical review. Clin J Am Soc Nephrol. 2011;6(5):1222-8.
62) Korevaar JC, Jansen MA, Dekker FW, Jager KJ, Boeschoten EW, Krediet RT, et al. When to initiate dialysis: effect of proposed US guidelines on survival. Lancet. 2001;358(9287):1046-50.
63) Marinovich S, Pérez-Loredo J, Lavorato C, Rosa-Diez G, Bisigniano L, Fernández V, et al. Initial glomerular filtration rate and survival in hemodialysis. The role of permanent vascular access. Nefrología. 2014;34(1):76-87.
64) McIntosh JF, Möller E, Van Slyke DD. Studies on urea excretion. III: The influence of body size on urea output. J Clin Invest. 1928;6(3):467-83.
65) Dreyer G, Ainley Walker EW, Ray W. On the blood volume of warm blooded animals; together with an inquiry into the value of some results obtained by the carbon monoxide method in health and disease. Skand Arch Physiol. 1913;28(1):299-324.
66) Taylor FB, Drury DR, Addis T. The regulation of renal activity. VIII. The relation between the rate of urea excretion and the size of the kidneys. Am J Physiol. 1923;65: 55-61.
67) MacKay EM. Kidney weight, body size and renal function. Arch Intern Med. 1932;50(4):590-4.
68) Fisk EL, Crawford JR. How to make the periodic health examination: a manual of procedure. New York: Macmillan, 1927. 393 p.
69) Rubner, M. Ueber den Einfluss der Körpergrösse auf Stoff- und Kraftwechsel. Ztschr f Biol.1883;19(4):535-2.
70) Meeh, K. Oberflächenmessungen des menschlichen Körpers. Ztschr f Biol. 1879;15(3):425-5.
71) Du Bois D, Du Bois EF. Clinical calorimetry: tenth paper a formula to estimate the approximate surface area of newborn infants. Arch Intern Med. 1916;17(6):863-1.
72) Faber HK, Melcher MS. A modification of the Du Bois height-weight formula for surface area of newborn infants. Proc Soc Exp Biol Med. 1921;19:53-4.
73)Boyd E. The growth of the surface of the human body. Minneapolis: University of Minnesota Press, 1935. 145 p.
74) Stevenson PH. Height-weight-surface formula for the estimation of body surface area in Chinese subjects. Chin J Physiol. 1937; 12:327-34.
75) Banerjee S, Sen R. Determination of the surface area of the body of Indians. J Appl Physiol. 1955;7(6):585-8.
76) Banerjee S, Bhattacharya AK. Determination of body surface area in Indian Hindu children. J Appl Physiol. 1961;16(6):969-70.
77) Fujimoto S, Watanabe T, Sakamoto A, Yukawa K, Morimoto K. Studies on the physical surface area of Japanese. 18. Calculation formulas in three stages over all ages. Nihon Eiseigaku Zasshi. 1968;23(5):443-50.
78) Gehan EA, George SL. Estimation of human body surface area from height and weight. Cancer Chemother Rep. 1970;54(4):225-35.
79) Nwoye LO. Body surface area of Africans: a study based on direct measurements of Nigerian males. Hum Biol. 1989;61(3):439-57.
80) Shuter B, Aslani A. Body surface area: Du Bois and Du Bois revisited. Eur J Appl Physiol. 2000;82(3):250-4.
81) Livingston EH, Lee S. Body surface area prediction in normal-weight and obese patients. Am J Physiol Endocrinol Metab. 2001;281(3):E586-91.
82) Tikuisis P, Meunier P, Jubenville CE. Human body surface area: measurement and prediction using three dimensional body scans. Eur J Appl Physiol. 2001;85(3-4):264-71.
83) Nwoye LO, Al-Shehri MA. A formula for the estimation of the body surface area of Saudi male adults. Saudi Med J. 2003;24(12):1341-6.
84) Mosteller RD. Simplified calculation of body-surface area. N Engl J Med 1987; 317(17):1098.
85) Haycock GB, Schwartz GJ, Wisotsky DH. Geometric method for measuring body surface area: a height-weight formula validated in infants, children, and adults. J Pediatr. 1978;93(1):62-6.
86) Yu CY, Lin CH, Yang YH. Human body surface area database and estimation formula. Burns. 2010;36(5):616-29.
87) Costeff H. A simple empirical formula for calculating approximate surface area in children. Arch Dis Child. 1966; 41(220):681-3.
88) Verbraecken J, Van de Heyning P, De Backer W, Van Gaal L. Body surface area in normal-weight, overweight, and obese adults. A comparison study. Metabolism. 2006;55(4):515-24.
89) National Kidney Foundation. K/DOQI clinical practice guidelines on chronic kidney disease: evaluation, classification and stratification. Part 5. Evaluation of laboratory measurements for clinical assessment of kidney disease. Guideline 4 Estimation of GFR. Am J Kidney Dis. 2002; 39(2 Suppl. 1):S76–S92
90) Richard A. Kronmal RA. Spurious Correlation and the Fallacy of the Ratio Standard Revisited. J R Stat Soc Ser A Stat Soc. 1993;156(3):379-92.
91) Hoste L, Pottel H Is body surface area the appropiate index for glomerular filtration rate? Basic Nephrology Ed. Intechopen Sahay M, 2012.
92) Teruel JL, Sabater J, Galeano C, Rivera M, Merino JL, Fernández Lucas M, et al. La ecuación de Cockcroft-Gault es preferible a la ecuación MDRD para medir el filtrado glomerular en la insuficiencia renal crónica avanzada. Nefrología. 2007;27(3):313-9.
93) Delanaye P, Krzesinski JM. Indexing of renal function parameters by body surface area: intelligence or folly? Nephron Clin Pract. 2011;119(4):c289-92.
94) Geddes CC, Woo YM, Brady S. Glomerular filtration rate. What is the rationale and justification of normalizing GFR for body surface area? Nephrol Dial Transplant. 2008;23(1):4-6.
95) Schmieder RE, Beil AH, Weihprecht H, Messerli FH. How should renal hemodynamic data be indexed in obesity? J Am Soc Nephrol. 1995;5(9):1709-13.
96) Anastasio P, Spitali L, Frangiosa A, Molino D, Stellato D, Cirillo E, et al. Glomerular filtration rate in severely overweight normotensive humans. Am J Kidney Dis. 2000;35(6):1144-8.
97) Chagnac A, Weinstein T, Korzets A, Ramadan E, Hirsch J, Gafter U. Glomerular hemodynamics in severe obesity. Am J Physiol Renal Physiol. 2000;278(5):F817-22.
98) Usatchov N, Zhouckova AV, Pushkarev AA, Schlyakhto EV,. Renal function and haemodynamics in obese hypertensive patients. J Clin Basic Cardiol. 1999;2(1):73-4.
99) Ribstein J, du Cailar G, Mimran A. Combined renal effects of overweight and hypertension. Hypertension. 1995;26(4):610-5.
100) Peters AM. The kinetic basis of glomerular filtration rate measurement and new concepts of indexation to body size. Eur J Nucl Med Mol Imaging. 2004;31(1):137-49.
101) Eriksen BO, Melsom T, Mathisen UD, Jenssen TG, Solbu MD, Toft I. GFR normalized to total body water allows comparisons across genders and body sizes. J Am Soc Nephrol. 2011;22(8):1517-25.
102) Corsonello A, Pedone C, Lattanzio F, Semeraro R, D'Andria F, Gigante M, et al. Agreement between equations estimating glomerular filtration rate in elderly nursing home residents and in hospitalised patients: implications for drug dosing. Age Ageing. 2011;40(5):583-9.
103) Stevens LA, Nolin TD, Richardson MM, Feldman HI, Lewis JB, Rodby R, et al. Comparison of drug dosing recommendations based on measured GFR and kidney function estimating equations. Am J Kidney Dis. 2009;54(1):33-42.
104) Jones G. Estimating renal function for drug dosing decisions. Clin Biochem Rev. 2011; 32(2):81-8.
105) Rostoker G, Andrivet P, Pham I, Griuncelli M, Adnot S. A modified Cockcroft-Gault formula taking into account the body surface area gives a more accurate estimation of the glomerular filtration rate. J Nephrol. 2007; 20(5): 576-85.
106) Calvert AH, Newell DR, Gumbrell LA, O'Reilly S, Burnell M, Boxall FE, et al. Carboplatin dosage: prospective evaluation of a simple formula based on renal function. J Clin Oncol. 1989;7(11):1748-56.
107) Craig AJ, Samol J, Heenan SD, Irwin AG, Britten A. Overestimation of carboplatin doses is avoided by radionuclide GFR measurement. Br J Cancer. 2012;107(8):1310-6.
108) De Lemos ML, Hsieh T, Hamata L, Levin A, Swenerton K, Djurdjev O, et al. Evaluation of predictive formulae for glomerular filtration rate for carboplatin dosing in gynecological malignancies. Gynecol Oncol. 2006;103(3):1063-9.
109) Peral-Aguirregoitia J, Lertxundi-Etxebarria U, Saracho-Rotaeche R, Iturrizaga-Correcher S, Martínez-Bengoechea MJ. Estimación de la tasa de filtración glomerular para el ajuste posológico de los fármacos: reina la confusion. Nefrología. 2012;32(1):115-7.
110) Singer MA. Of mice and men and elephants: metabolic rate sets glomerular filtration rate. Am J Kidney Dis. 2001;37(1):164-178.
111) White CR, Blackburn TM, Seymour RS. Phylogenetically informed analysis of the allometry of Mammalian Basal metabolic rate supports neither geometric nor quarter-power scaling. Evolution. 2009;63(10):2658-67.
112) Kleiber M. Body size and metabolism. Hilgardia. 1932;6(11):315-53.
113) Kolokotrones T, Van Savage, Deeds EJ, Fontana W. Curvature in metabolic scaling. Nature. 2010;464(7289):753-6.
114) Hu TM, Hayton WL. Allometric scaling of xenobiotic clearance: uncertainty versus universality. AAPS PharmSci. 2001;3(4):E29.
115) Heaf JG. The origin of the 1 x 73-m2 body surface area normalization: problems and implications. Clin Physiol Funct Imaging. 2007;27(3):135-7.
116) Mager DE, Woo S, Jusko WJ. Scaling pharmacodynamics from in vitro and preclinical animal studies to humans. Drug Metab Pharmacokinet. 2009; 24(1):16-24.
117) Young JF, Luecke RH, Pearce BA, Lee T, Ahn H, Baek S, et al. Human organ/tissue growth algorithms that include obese individuals and black/white population organ weight similarities from autopsy data. J Toxicol Environ Health A. 2009;72(8):527-40.
118) Chagnac A, Herman M, Zingerman B, Erman A, Rozen-Zvi B, Hirsh J, et al. Obesity-induced glomerular hyperfiltration: its involvement in the pathogenesis of tubular sodium reabsorption. Nephrol Dial Transplant. 2008;23(12):3946-52.
119) Demirovic JA, Pai AB, Pai MP: Estimation of creatinine clearance in morbidly obese patients. Am J Health Syst Pharm. 2009;66(7):642-8.
120) Duffull SB, Dooley MJ, Green B, Poole SG, Kirkpatrick CM. A standard weight descriptor for dose adjustment in the obese patient. Clin Pharmacokinet. 2004;43(15):1167-78.
121) Janmahasatian S, Duffull SB, Ash S, Ward LC, Byrne NM, Green B. Quantification of lean bodyweight. Clin Pharmacokinet. 2005;44(10):1051-65.
122) Hume R, Goldberg A. Actual and predicted-normal-cell and plasma volumes in primary and secondary polycythaemia. Clin Sci. 1964;26:499-508.
123) Green B, Duffull SB. What is the best size descriptor to use for pharmacokinetic studies in the obese? Br J Clin Pharmacol. 2004; 58(2):119-33.
124) Janmahasatian S, Duffull SB, Chagnac A, Kirkpatrick CM, Green B. Lean body mass normalizes the effect of obesity on renal function. Br J Clin Pharmacol. 2008;65(6):964-5.
125) McLeay SC, Morrish GA, Kirkpatrick CM, Green B. Encouraging the move towards predictive population models for the obese using propofol as a motivating example. Pharm Res. 2009;26(7):1626-34.
126) Devine BJ. Gentamicin therapy. Drug Intell Clin Pharm. 1974;8:650-5.
127) Redal-Baigorri B, Rasmussen K, Heaf JG. The use of absolute values improves performance of estimation formulae: a retrospective cross sectional study. BMC Nephrol. 2013;14:271.

 

Cómo citar este artículo: Pérez Loredo J, Lavorato CA, Negri AL. Tasa de filtración glomerular medida y estimada. Numerosos métodos de medición (Parte I). Rev Nefrol Dial Traspl. 2015; 35(3):153-64.

 

 

Revista de Nefrología, Diálisis y Trasplante
ISSN 2346-8548 (electrónico) - ISSN 0326-3428 (impreso) 
Gascón 88 (1181) Ciudad Autónoma de Buenos Aires, Argentina
Contacto: ban@renal.org.ar